Research
Overview
My research sits at the intersection of cognitive neuroscience and lifespan developmental psychology. I study how the brain changes with age and what this means for cognition — and whether behavioral and lifestyle factors, particularly education, can modify these trajectories.
I work primarily with data from the COBRA study (Cognition, Brain, and Aging), a longitudinal project following older adults with repeated PET and MRI neuroimaging, extensive cognitive testing, and behavioral assessments.
Dissertation
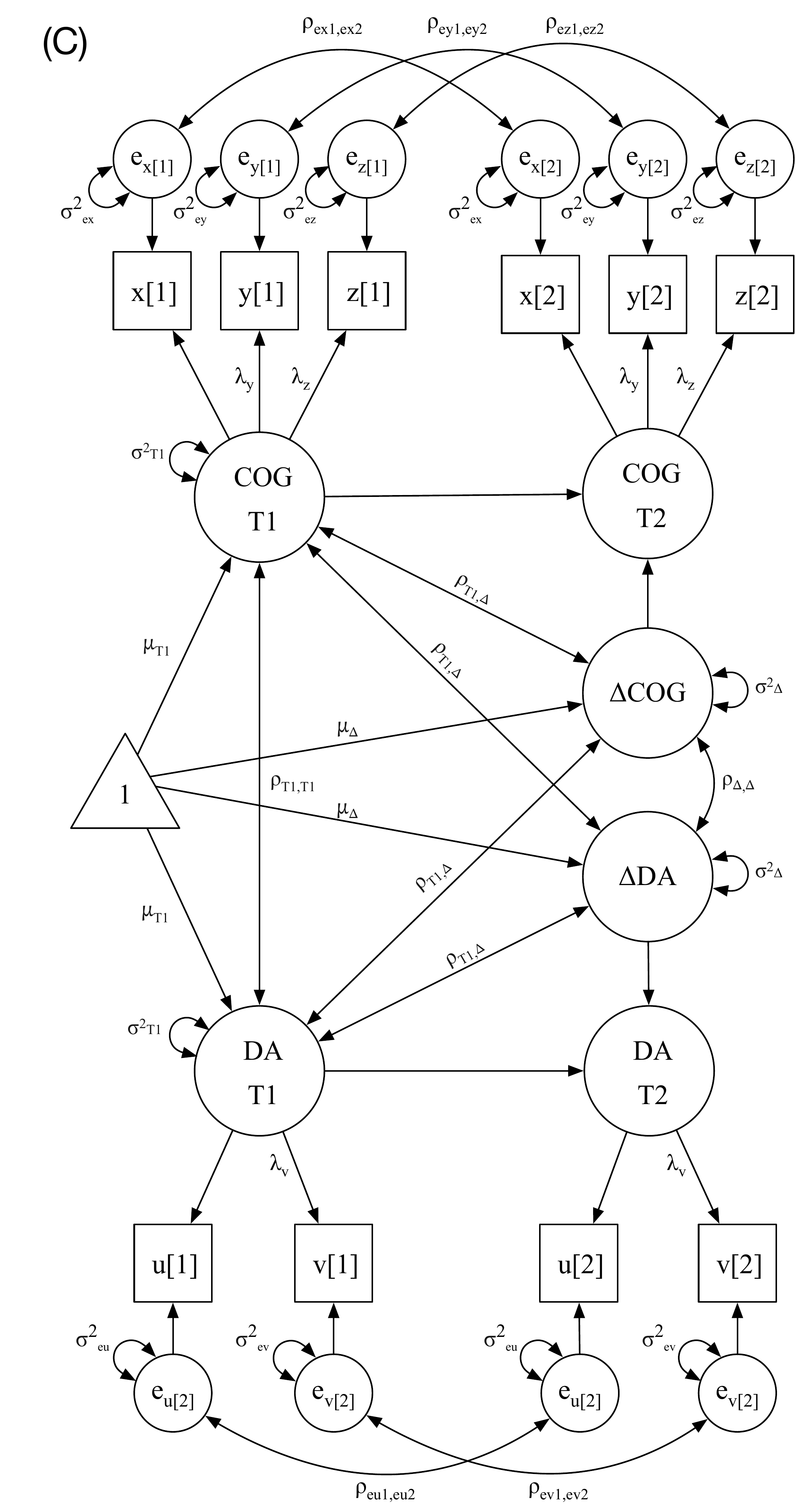
Influences of education on brain-cognition change associations in healthy aging
My dissertation investigates whether educational attainment moderates the association between age-related brain changes and cognitive decline. Across several studies using COBRA data, I examine:
- Whether education relates to rates of dopamine D2/D3 receptor loss
- Whether education moderates the link between hippocampal volume change and memory decline
- How education and leisure activities relate to brain and cognitive change more broadly
The dissertation involves hundreds of Bayesian structural equation models estimated across multiple neuroimaging and cognitive outcomes.
Advisors: Prof. Martin Lövdén and Dr. Gaia Olivo.

Methods
My work integrates multiple methodological approaches:
- Neuroimaging: Structural MRI, PET (dopamine D2/D3 receptor binding)
- Statistical modeling: Latent variable models, structural equation modeling (SEM), confirmatory factor analysis (CFA), item response theory (IRT)
- Machine learning: Applied to neuroimaging and behavioral data
- Tools: R, Mplus, FreeSurfer, SPM, bash/git